en physique, la constante gravitationnelle, ou constante universelle de gravitation, ou constante de newton, ou constante de cavendish, ou grand g), notée g {\displaystyle g} g , est la constante de proportionnalité de la loi universelle de la gravitation d’isaac newton. cette constante physique fondamentale apparaît aussi
une forte gifle peut provoquer une force de plusieurs centaines de g localement sans pour autant provoquer de lésions réelles ; en revanche, une force constante de g pendant une minute peut se révéler mortelle. dans le cas d’une vibration, des pics de g d’assez faible amplitude peuvent être très destructeurs si la
en science, une constante physique est une quantité physique dont la valeur numérique est fixe. contrairement à une constante mathématique, elle implique directement une grandeur physiquement mesurable. les valeurs listées cidessous sont des valeurs dont on a remarqué qu’elles semblaient constantes et

Vu sur slideplayer.fr

Vu sur images.slideplayer.fr

Vu sur slideplayer.es
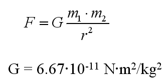
phys. constante universelle notée g, intervenant dans la loi de newton. g = ,. n·m·kg .
dans la formule de newton cidessus, on remarque l’existence d’une constante g. a quoi correspondelle ? quelle est sa valeur ? en fait, la mesure des distances et des périodes dans le système solaire ne nous fournit que le produit gm de la constante g avec la masse du corps central. on connaît donc g x (masse
unité et notation. elle se note g, toujours en minuscule, à ne pas confondre avec « g », en majuscule, qui représente la constante de gravitation universelle. son unité est le newton par kilogramme de symbole n/kg ou n.kg. cette unité peut facilement être retrouvée à l’aide de la relation g = p : m où il
 / D².jpg)
Vu sur slideplayer.fr

Vu sur villemin.gerard.free.fr

Vu sur sc.ehu.es
de très nombreux exemples de phrases traduites contenant “constante gravitationnelle” dictionnaire anglaisfrançais et moteur de recherche de traductions anglaises.
la constante gravitationnelle est une constante physique. on l’appelle aussi souvent la constante de newton. elle est représentée par la lettre grand g. elle a été mesurée pour la première fois en . valeur[modifier | modifier le wikicode]. il n’existe pas de valeur précise pour g. en général, la valeur retenue de la
calcul de la constante de gravitation universelle g. claude er ing., , . rév. , claude.ergctda. dans son hypothèse de sur les grands nombres, dirac constatait que certains nombres semblent apparaître dans plein de calculs []. ces grands nombres sont en fait.
avec g = constante de gravitation [,. msr/kgs²]. m et m (kg)= masses qui s’attirent avec une force f(n). l(m)= distance entre les masses. Ω(sr)= angle solide dans lequel s’exerce l’interaction (en général l’espace entier, soit ∏ sr pour un système d’unités qui, comme s.i., a le stéradian comme unité

Vu sur xtec.cat

Vu sur physique.chimie.pagesperso-orange.fr

Vu sur s1.studylibfr.com

Vu sur modeledesaions.free.fr







